After completing this section, you should be able to do the following:
Recall from module 1 that an exponent is a shorthand notation for repeated factors. For example:
2 · 2 · 2 · 2 · 2
can be written as 25. The expression 25 is called an exponential expression, where 2 is the base and 5 is the exponent. We can also use exponential notation with variables, as was shown in module 2. Thus, x · x · x · x · x can be written as x5.
Exponential expressions can be multiplied, divided, or raised to a power. We will now discuss the rules for these operations.
Let's look at the two examples below to see if we can discover a rule for multiplication of factors with exponents.
Example 1:

Example 2:
x2 · x3 = (x · x) · (x · x · x)
= x · x · x · x · x
= x5
In both cases, notice that the result is exactly the same if the exponents are added, which suggests the following rule.
Product Rule for Exponents
If m and n are positive integers and a is a real number, then:
am · an = am+n
Now let's look at one more example.
Example 3: Use the product rule to simplify (7y4)(–3y2).
Solution:

Another pattern for simplifying exponential expressions involves quotients.
To simplify an expression such as
, in which the numerator and denominator have a common base, we can apply the
fundamental principle of fractions and divide the numerator and the denominator
by the common base factors. Assume for this discussion that the denominators are
not equal to 0.

Notice that the result is exactly the same if we subtract the exponents of the common bases.

We can now state a rule for division with exponents.
Quotient Rule for Exponents
If m and n are positive integers and a is a real number, then:
![]()
Example 4: |
|
| Solution: | Begin by grouping common bases. Remember that there is an understood exponent of 1 when no exponent is written. |
Exponential expressions can themselves be raised to powers. Let's see how to simplify an expression like (x2)3.
By definition:

which can be simplified by the product rule of exponents:
(x2)3 = (x2)(x2)(x2) = x2+2+2 = x6
Notice that the result is exactly the same if we multiply the exponents:
(x2)3 = x2·3 = x6
The following property generalizes this result.
Power Rule for Exponents
If m and n are positive integers and a is a real number, then:
(am)n = am·n
Watch this animation explaining how to use the power rule for exponents. |
When the base of an exponential expression is a product or quotient, the definition of an exponent still applies. For example:
(xy)3 = (xy)(xy)(xy)
= x
·
x
·
x
· y
·
y
·
y
= x3y3
Notice that we raise each factor within the parentheses to a power of 3, which leads to the following rule.
Power-of-a-Product Rule for Exponents
If n is a positive integer and a and b are real numbers, then:
(ab)n = anbn
Let's see what happens when we raise a quotient to a power. For example:

Notice here that we raised both the numerator and denominator to a power of 3. In general, we have the following rule.
Power-of-a-Quotient Rule
If n is a positive integer and a and c are real numbers, then:
,
where c does not equal 0
All three power rules can be combined to simplify exponential expressions.
| Example 5: | ![]() |
Solution: |
|
Let's now give meaning to an exponential expression that has a zero exponent,
such as x. To do so, we will simplify
in two ways and compare the results.
From these results, we conclude that x = 1, as long as x itself is not 0. In general, any base raised to the 0 power is equal to 1, as long as the base does not have a value of 0.
Zero Exponent
a = 1, as long as a is not 0.
| Example 6: | Simplify –3x. |
| Solution: | Notice that the zero exponent only applies to the base of x. If –3 were to be raised to the zero exponent, we would have to write it as (–3x). –3x = –3 · 1 = –3 |
So far, we have only looked at exponents that are positive integers or 0. In this section, we give meaning to expressions with negative exponents, such as x–3.
Suppose that we wished to simplify the expression
.
Using the quotient rule for exponents, we subtract exponents:
![]()
We can also use the definition of an exponent to simplify
.
![]()
If the quotient rule is to hold true for negative exponents, we conclude that
x–3 must equal
.
The general rule is stated below.
Negative Exponents
If a is a real number other than 0 and n is an integer, then:
![]()
Watch this animation explaining how to evaluate numbers raised to negative integer powers. |
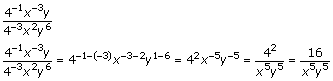
Example 7: |
Write each expression using only positive exponents. |
a. |
![]() Notice that the effect of a negative exponent is to take the reciprocal of the exponential expression and change the sign of the exponent. Another way to look at this is to recognize that the negative exponent causes the exponential expression to change its position from denominator to numerator (and vice versa), and then change the sign of its exponent. |
b. |
|
c. |
![]() |
d. |
![]() |
Both very large and very small numbers frequently occur in many fields of science. For example, the distance between the sun and the planet Pluto is approximately 5,906,000,000 kilometers, and the mass of a proton is approximately 0.00000000000000000000000165 grams. It can be tedious to write these numbers using decimal notation, so scientific notation is used as shorthand for expressing very large and very small numbers.
First, let's look at the form for scientific notation.
Scientific Notation Form
When we write a positive number in scientific notation, we write it as a product of a number a, where 1 ≤ a < 10, and an integer power r of 10:
a × 10r
Now let's look at the steps involved in writing a number in scientific notation.
How to Write a Number in Scientific Notation
| Step 1. | Move the decimal point in the original number to the left or right so that the new number has a value between 1 and 10. |
| Step 2. | Count the number of decimal places the decimal point was moved in Step 1. If the original number is 10 or greater, the count is positive. If the original number is less than 1, the count is negative. |
| Step 3. | Multiply the new number in Step 1 by 10 raised to an exponent equal to the count found in Step 2. |
Example 8: Write each number in scientific notation.
a. 367,000,000
Step 1. Move the decimal point until the number is between 1 and 10.
![]()
Step 2. The decimal point is moved 8
places, and the original number is
greater
than 10, so the count is positive 8.
Step 3. 367,000,000 = 3.67 × 108.
b. 0.00000000239
Step 1. Move the decimal point until the number is between 1 and 10.
![]()
Step 2. The decimal point is moved 9 places, and the original
number
is less than 1, so the count is negative 9.
Step 3. 0.00000000239 = 2.39 × 10–9.
A number written in scientific notation can be rewritten in standard form by moving the decimal point the same number of places as the exponent of 10. For example, to write 2.95 × 103 in standard form, recall that 103 = 1,000. Thus,
2.95 × 103 = 2.95 × 1,000 = 2,950
Similarly, if the exponent is negative, we make use of the definition of a negative exponent.
![]()
Notice that we move the decimal point to the right when the exponent of 10 is +3, and we move the decimal point to the left when the exponent of 10 is –3. We generalize this rule as follows:
How to Write a Scientific Notation Number in Standard Form
Move the decimal point the same number of places as the exponent of 10.
Example 9: |
Write each number in standard form, without exponents. |
| a. | 4.05 × 105 Move the decimal point 5 places to the right.
|
| b. | 9.226 × 10–5 Move the decimal point 5 places to the left.
|
Performing operations on numbers written in scientific notation makes use of the rules and definitions for exponents that we discussed earlier.
| Example 10: | Perform each indicated operation. Write each result in standard form, without exponents. |
| a. |
![]() |
| b. |
![]() |
After completing this section, you should be able to do the following:
In module 2, we discussed algebraic expressions, and learned how to add, subtract, and multiply these expressions. In this section, we continue the discussion with a special algebraic expression called a polynomial. First, let's review some definitions presented in module 2.
Recall that a term is a number, or the product of a number and variables raised to powers. For example, the terms of the expression 4x2 + 3x – 5 are 4x2, 3x, and –5.
The coefficient of a term is the numerical factor. In the example above, the coefficient of the first term is 4, the coefficient of the second term is 3, and the coefficient of the third term is –5. Below, we use our understanding of terms to help define a polynomial.
Polynomial
A polynomial in x is a finite sum of terms, each of which has the form axn, where a is a real number and n is a whole number.
For example, 2x2 + 9 is a polynomial, but 5x–2 – 5y is not. Why not?
Some polynomials are given special names depending on the number of terms.
Each term of a polynomial has a degree. The degree of a term is the sum of the exponents on the variables contained in the term. The degree of a constant is 0. The degree of a polynomial is the greatest degree of any term of the polynomial.
Example 1: | Find the degree of the polynomial 12x4y – x2y2 – 12x2y4 and tell whether the polynomial is a monomial, binomial, trinomial, or none of these. |
| Solution: | Because this polynomial has three
terms, it is a trinomial. The degree of the first term, 12x4y, is 5 because x has an exponent of 4 and y has an exponent of 1, and the sum of the exponents is 4 + 1 or 5. The degree of the second term, x2y2, is 4. The degree of the third term, 12x2y4, is 6. The highest degree of all the terms is 6. Therefore, the degree of the polynomial is 6. |
In module 2, you learned how to simplify algebraic expressions by combining like terms. Because polynomials are special instances of algebraic expressions, the techniques you learned that apply to expressions also apply to polynomials. To add or subtract polynomials, you will simply combine like terms.
| Example 2: | Add: (–2x2 + 5x – 1) + (–2x2 + x + 3) |
| Solution: | (–2x2 + 5x
– 1) + (–2x2 + x
+ 3) = –2x2 + 5x – 1 – 2x2 + x + 3 = (–2x2 – 2x2) + (5x + x) + (–1 + 3) = –4x2 + 6x + 2 |
| Example 3: | Subtract: (2x3 + 8x2 – 6x) – (2x3 – x2 + 1) |
| Solution: | (2x3 + 8x2
– 6x) – (2x3
– x2 + 1) = 2x3 + 8x2 – 6x – 2x3 + x2 – 1 = 9x2 – 6x – 1 |
In module 2, you learned how to multiply algebraic expressions by using the associative and distributive properties. We will extend these techniques in this section to learn how to multiply any two polynomials together.
To multiply two monomials such as (–5x3) and (–2x4), recall that you use the associative and commutative properties of multiplication to regroup the factors. Use the product rule of exponents to multiply the variable factors.
(–5x3)(–2x4) = (–5)(–2)(x3)(x4) = 10x7
To multiply a monomial by a polynomial, recall that you use the distributive property:
a(b + c) = ab + ac
| Example 4: | Multiply: 3x2(5x2 + 6x – 1) |
| Solution: | 3x2(5x2
+ 6x – 1) = (3x2)(5x2) + (3x2)(6x) + (3x2)(–1) = 15x4 + 18x3 – 3x2 |
We also use the distributive property to multiply two binomials. For example, to multiply (x + 3) by (x + 1), distribute the factor (x + 3) first.
(x
+
3)(x + 1) =
x(x + 1) +
3(x + 1)
Distribute (x + 3).
= x(x) +
x(1) +
3(x) +
3(1)
Distribute again.
= x2 + x + 3x + 3
Multiply.
= x2 + 4x + 3
Combine like terms.
Notice that in the second step, each term in the first binomial is multiplied by each term in the second binomial. This technique can be expanded and applied to the multiplication of any two polynomials.
To Multiply Two Polynomials
Multiply each term of the first polynomial by each term of the second polynomial, and then combine like terms.
| Example 5: | Multiply: (4x + 5)(3x2 + 2x – 4) |
| Solution: | Multiply each term of the binomial by each term of the trinomial. (4x
+ 5)(3x2
+ 2x – 4) |
Now that we know how to add, subtract, and multiply polynomials, we will learn how to divide polynomials. To divide a polynomial by a monomial, recall from module 1 the process for adding fractions. We add fractions that have a common denominator by adding the numerators and putting the sum over the common denominator:

If we read this statement from right to left, and let a, b, and c be monomials, with c not equal to zero, we have the following method for dividing a polynomial by a monomial.
Dividing a Polynomial by a Monomial
To divide a polynomial by a monomial, divide each term of the polynomial by the monomial.
![]()
Example 6: |
Divide: |
| Solution: |
![]() |
To divide a polynomial by a polynomial with more terms than a monomial, we use a process called long division. Doing long division with polynomials is similar to doing long division with numbers. The long-division algorithm has four steps, which are repeated until the problem is finished.
Let's review the steps in arithmetic long division.

The following steps can help you remember the division algorithm and apply it to polynomial long division:
Step 1. Estimate.
Step 2. Multiply.
Step 3. Subtract.
Step 4. Bring down.
Example 7: |
Divide:
|
| Solution: |
![]() The quotient is x + 4.
|
Example 8: |
Divide:
|
| Solution: |
The quotient is 2x + 4 with a remainder of –1. This can be written as:
|
After completing this section, you should be able to do the following:
In module 1, we introduced to the concept of factoring, and in module 2, we extended this concept to factoring out the greatest common factor from an algebraic expression. As we have seen in the previous section, many of the expressions that we deal with are actually polynomials. Therefore, to factor out the greatest common factor from a polynomial, we apply the techniques presented in module 2.
Let's review with an example from module 2:
| Example 1: | Factor 7x3 – 14x2. |
| Solution: | Notice that this expression is a polynomial of degree 3. The first step is to find the greatest common factor of all the terms. The GCF of the coefficients 7 and 14 is 7. The GCF of the variable factors is the base raised to the highest power that occurs in all terms, which, in this case, is x2. Thus, the GCF of 7x3 and 14x2 is 7x2. Next, we rewrite each term as the product of the GCF and the remaining factors. 7x3 – 14x2 = 7x2 · x1 + 7x2 · 2 Apply the distributive property to write the expression as the product of the GCF and the sum of the remaining factors. = 7x2(x + 2) Remember that you can check your answer by multiplying. |

Once the GCF is factored out, we can often continue to factor the polynomial using a technique called grouping.
| Example 3: | Factor xy + 2x + 3y + 6 by grouping. Check by multiplying. |
| Solution: | There is no common factor of all four terms except 1. However, notice that the GCF of the first two terms is x and the GCF of the last two terms is 3. We will factor each group of terms separately. xy + 2x + 3y + 6 = x(y + 2) + 3(y + 2) Notice that the factor in parentheses is common to both terms in the result. We will factor out this common binomial factor of (y + 2). x(y + 2) + 3(y + 2) = (y + 2)(x + 3) To check, multiply (y + 2) by (x + 3): (y + 2)(x + 3) = xy + 3y + 2x + 6 which is equivalent to the original polynomial. |
We can summarize the steps in factoring by grouping as follows.
Factoring a Polynomial by Grouping
| Step 1. | Arrange the terms so that the first two terms have a common factor and the last two terms have a common factor. |
| Step 2. | For each pair of terms, use the distributive property to factor out the pair's greatest common factor. |
| Step 3. | If there is now a common binomial factor, factor it out of the expression. |
| Step 4. | If there is no common binomial factor in Step 3, begin again, rearranging the terms differently. If no rearrangement leads to a common binomial factor, the polynomial cannot be factored. |
Let's look at one more example.
| Example 4: | Factor 3x2 + 4xy – 3x – 4y by grouping. |
| Solution: | 3x2 + 4xy
– 3x – 4y = x(3x
+ 4y) – 1(3x + 4y) Notice in this example that the common factor of the last two terms is –1. In general, if the third term is negative, you should look for a negative GCF to factor out. |